Error message

Saturday, 01 December 2018

Avinash Mahajan
Title: New possible quantum spin liquid systems
Abstract:

Motivated by the recent findings in the Ba3CuSb2O9 system, we have investigated Sr3CuM2O9 [M= Sb, Nb] for possible spin liquid behaviour. Due to the different ionic size of Sr compared to Ba, the Sr-based systems crystallize in a different structure that the Ba-system. The bulk susceptibility of the Sr-based compounds shows a Curie-Weiss behaviour with a large, AF ΘCW but no sign of ordering down to 1.8 K. Our specific heat data show no anomalies down to 0.3 K and a power law behaviour of the magnetic heat capacity is seen. 121Sb and 93Nb NMR data also do not show any evidence of LRO. These data point towards quantum spin liquid (QSL) behaviour.

The system Y2CuTiO6 contains edge-shared triangular planes where the vertices are occupied by magnetic Cu and nonmagnetic Ti atoms in equal proportion. In spite of the large dilution of the triangular magnetic lattice, the magnetic susceptibility shows a large, AF ΘCW (about 240 K) without any sign of ordering down to 1.8 K. The magnetisation in a low field (50 Oe) shows no bifurcation in ZFC/FC curves down to 0.5 K. Likewise, the heat capacity shows no anomalies and the magnetic contribution has a power law behaviour at low-temperatures. Our muSR measurements down to 50 mK also do not show any signs of ordering. Our 89Y NMR results also do not show any signs ordering. These observations are typical of potential quantum spin liquid systems. In the present case, however, the magnetic heat capacity Cm depends on the magnetic field H. We observed that the data could be scaled such that HγCm/T vs T/H follow a universal curve with γ = 0.6. Such a scaling behaviour has been suggested in systems with random singlet formation. While the randomness of the exchange coupling has been suggested in YbMgGaO4 due to Mg/Ga site disorder (with no depletion of the magnetic lattice), in the present case it is surprising that in spite of the large (50%) depletion of the lattice, no spin freezing is observed.

I will present the results of our bulk and local probe measurements on the above systems.

Arnab Sen
Title: Understanding disorder-induced phases in dipolar spin ice
Abstract:

Spin liquids, despite their apparently featureless ground states, are exotic magnetic states which host fractionalised excitations and emergent gauge fields. Interestingly, quenched disorder can nucleate defects with unusual properties and thus reveal the hidden collective excitations of such states. In this talk, I will explain how disorder affects the physics of a prototypical frustrated magnet, dipolar spin ice, both at high and low temperatures and in fact leads to a new phase at low temperature, a "topological spin glass”, which shows signatures of both spin liquidity and glassiness. I will also describe a new cluster Monte Carlo algorithm that allows us to study the continuous phase transition to the topological spin glass and reliably extract the critical temperature and exponents.

Ching-Hao Chang
Title: Carrier-driven coupling in ferromagnetic oxide heterostructures
Abstract:

Ching Hao Chang1 and R. Ganesh2

1Department of Physics, National Cheng Kung University, Taiwan

2The Institute of Mathematical Sciences, HBNI, C I T Campus, Chennai, India

Transition metal oxides are well known for their complex magnetic and electrical properties. When brought together in heterostructure geometries, they show particular promise for spintronics and colossal magnetoresistance applications. In this article, we propose a carrier-driven coupling mechanism in heterostructures composed of itinerant ferromagnetic materials. The coupling is mediated by charge carriers that strive to maximally delocalize through the heterostructure to gain kinetic energy. In doing so, they force a ferromagnetic or antiferromagnetic coupling between the constituent layers. To illustrate this, we focus on heterostructures composed of SrRuO3 and La1−xAxMnO3 (A = Ca/Sr). Using the minority-carrier nature of SrRuO3, we provide a simple explanation for antiferromagnetic alignment that is known to occur in multilayers. We present a phenomenological Kondo-lattice model which reproduces the known magnetization properties of multilayers. In addition, we discuss a quantum well model for heterostructures and argue that the spin-dependent density of states determines the nature of the coupling. As a smoking gun signature, we propose that bilayers with the same constituents will oscillate between ferromagnetic and antiferromagnetic coupling upon tuning the relative thicknesses of the layers. We present ab-initio results that support this prediction.

Reference:

Ching-Hao Chang et al., Phys. Rev. B 96, 184408 (2017).

Wenan Guo
Title: Random-Singlet Phase in Disordered Two-dimensional Quantum Magnets
Abstract:

Materials always contain some amount of disorder (randomness) or impurities, which can significantly alter their properties. While in some cases it is desirable to minimize the amount of disorder, in other cases disorder can be important to achieve certain material properties. Here we discuss a class of insulating quantum magnets in which disorder can induce a completely new kind of state, the properties of which were previously not known. We do this by large-scale computer simulations of a model system designed to generate the state in question - the random singlet state - while at the same time being amenable to the most efficient simulation algorithms. Our results show that, upon introduction of disorder, an antiferromagnet can undergo a phase transition at a critical point into the RS state, provided that there are some interactions in the system that favor correlation of singlet pairs (dimerization). The RS state, which is likely realized in many materials that have so far been classified as 'disordered spin liquids', exhibit power-law scaling properties of experimentally measurable properties. 

Yogesh Singh
Title: CU2IrO3 AND K2IrO3: New platform for Kitaev physics
Abstract:

The honeycomb lattice iridates A2IrO3 (A = Na, Li) were proposed as candidates for the realization of the Kitaev Heisenberg model with hopes of stabilizing Kitaev’s quantum Spin-Liquid (QSL). However, both materials were experimentally found to have magnetically ordered ground states. We report single crystal growth of a new layered honeycomb lattice iridate K2IrO3 with a different inter-layer stacking sequence compared to Na2IrO3 and $\alpha$-Li2IrO3. From magnetic susceptibility χ versus temperature T data we find $S_{eff} = 1/2$ moments interacting strongly with a Weiss temperature $\theta ≈ -200$~K and no sign of magnetic order or spin freezing down to $T = 1.8$~K. Heat capacity data show a broad maximum around 30 K which is insensitive to magnetic fields. These behaviours are consistent with expectations for a Quantum Spin Liquid.

Gang Chen
Title: Emergent quantum criticality from spin-orbital entanglement in d^8 Mott insulators
Abstract:

Several novel quantum spin states will be presented for highly frustrated quantum spin systems such as triangular and honycome lattices. The spin-orbital interaction is also considered. In particular,possible spin liquid states will be also discussed for those systems.

SungBin Lee
Title: Multipolar order and superconductivity in Pr(TM)2(Al,Zn)20 Kondo materials
Abstract:

We discuss the multipolar ordering in Pr(TM)2(Al,Zn)20 Kondo materials. In Pr ion site, interplay of spin orbit coupling and crystal field splitting leads to non Kramers doublet as a ground state, where magnetic dipole degrees of freedom is absent but quadrupolar and octupolar degrees of freedom exist. Focusing on such unique ground state, we discuss physical properties of multipolar ordering and their phase transitions. We also discuss emergence of topological superconductivity in this cage compounds and their relevance to multipolar ordering.

Sunday, 02 December 2018

Tsutomu Momoi
Title: Supersolid in the kagome antiferromagnet in a magnetic field
Abstract:

Geometrical frustration in the kagome lattice leads to localization of magnetic excitations into resonating hexagons. Recent numerical studies [1,2] of the spin-1/2 kagome-lattice antiferromagnet in an applied field demonstrated that these easily localized magnons can induce various magnon crystal phases, which result in the appearance of many plateau structures in the magnetization process. We studied how these plateau states melt into non-plateau phases in the kagome antiferromagnet with varying a magnetic field [3]. We examined instabilities of the plateau phases by means of degenerate perturbation theory, and found some emergent supersolid phases below the m=5/9 plateau. In the supersolid states the pattern of resonating hexagons are preserved from the plateau crystal state and the originally polarized spins outside the hexagons dominantly join the superfluid component, or equivalently, participate in the magnetization process.

[1] S. Nishimoto, N. Shibata, and C. Hotta, Nat. Commun. 4, 2287 (2013). [2] S. Capponi, O. Derzhko, A. Honecker, A. M. Läuchli, and J. Richter, Phys. Rev. B 88, 144416 (2013). [3] X. Plat, T. Momoi, and C. Hotta, Phys. Rev. B 98, 014415 (2018).

Ying-Jer Kao
Title: Tunneling-induced restoration of classical degeneracy in quantum kagome ice
Abstract:

Quantum effect is expected to dictate the behaviour of physical systems at low temperature. For quantum magnets with geometrical frustration, quantum fluctuation usually lifts the macroscopic classical degeneracy, and exotic quantum states emerge. However, how different types of quantum processes entangle wave functions in a constrained Hilbert space is not well understood. Here, we study the topological entanglement entropy (TEE) and the thermal entropy of a quantum ice model on a geometrically frustrated kagome lattice. We find that the system does not show a Z_2 topological order down to extremely low temperature, yet continues to behave like a classical kagome ice with finite residual entropy. Our theoretical analysis indicates an intricate competition of off-diagonal and diagonal quantum processes leading to the quasi-degeneracy of states and effectively, the classical degeneracy is restored.

Panchanana Khuntia
Title: NMR as a microscopic probe for magnetism and spin dynamics
Abstract:

Extracting intrinsic magnetic susceptibility and understanding the origin of complex magnetic ordering set an attractive venue in correlated quantum matter. Nuclear Magnetic Resonance (NMR) is a site selective microscopic technique and is extremely sensitive to low energy spin dynamics defining the ground state properties of quantum materials. NMR spectroscopy offers a unique setting in mapping the tomography of materials under study. NMR enables us to probe topological order and elucidate the nature of enigmatic elementary excitations in quantum magnets by adopting a “perturb to reveal” approach.

Chao-hung Du
Title: Fluctuations of spiral spins in the double-perovskite ferrite YBaCuFeO5
Abstract:

Chao-Hung Du1,2, K. C Rule3, C.-W. Wang4, S. Yano4, F.-C. Chou5

1Department of Physics, Tamkang University, Taiwan
2Research Center for X-ray Science, Tamkang University, Taiwan
3Australian Center for Neutron Scattering, ANSTO, Australia
4Neutron Group, National Synchrotron Radiation Research Center, Taiwan
5Center for Condensed Matter Sciences, National Taiwan University, Taiwan

The double-perovskites exhibit many fundamentally interesting chemical and physical properties; they can have electronic structures raging from insulator, metallic, halfmetallic to superconductor; they can also have different magnetic order parameters; or even simultaneously containing the multiple order parameters, such as multiferroicity. The double-perovskite ferrite YBaCuFeO5 (YBCFO) is such a material to show a rich phase diagram. Using a modified floating zone growth method, we are able to grow the high-quality single crystal of YBCFO for the detailed studies using neutron scattering. Using neutron powder and single crystal diffraction, YBCFO was observed to show a commensurate-incommensurate magnetic transition at TN~ 175 K. This incommensurate phase develops into a spiral spin ordering with a propagating vector along c-axis. Further using neutron TOF and triple-axis spectrometers, we observed that the spiral spin ordering shows a very unusual dispersion behavior as a function of temperature, which could be the consequence of a strong coupling between the spin moments of Fe3+ and Cu2+ and their dz orbitals. This finding also calls for the analytically modeling for the further understanding the mechanism behind.

References:

  1. Y.-C. Lai, et. al., J. of Physics: Condes. Matt. 29, 145801 (2017)
  2. W.-C. Liu, et. al., J Appl. Cryst. 49, 1721 (2016)
  3. M. Morin, et. al., Nature Comm. 7, 13758 (2016)
  4. D. Dey, et. al., Scientific Report 8, 2404 (2018)
Gil Young Cho
Title: Many-Body Invariants for Higher-Order Topological Insulators
Abstract:

We propose many-body invariants for multipolar higher-order topological insulators by generalizing Resta's pioneering work on polarizations. The many-body invariants are designed to measure the distribution of electron charge in unit cells and thus can detect quantized multipole moments purely from the bulk ground state wavefunctions. Using the invariants, we prove the bulk-boundary correspondence of the higher-order topological insulators. Further, we show that our invariants can diagnose the corner charge of rotational- symmetric crystalline insulators. Application of our invariants to spin systems as well as various other aspects of the many-body invariants will be discussed.

Hikaru Kawamura
Title: Randomness induced quantum spin liquids in frustrated magnets
Abstract:

In the last decade, experimental quest for the hypothetical ``quantum spin liquid'' (QSL) state met several candidate materials on geometrically frustrated lattices such as triangular and kagome lattices in 2D, and a pyrochlore lattice in 3D. These spin-1/2 compounds exhibit no magnetic ordering nor the spin freezing down to very low temperature, while the measured physical quantities mostly exhibit gapless behaviors. We have argued that these compounds might contain significant amount of (effective) quenched randomness or inhomogeneity of varying origin: either of external origin such as the substitution disorder, or of internal origin dynamically self-generated via the coupling to other degrees of freedom in solids such as the charge, the lattice and the orbital. We propose as a minimal model the s =1/2 antiferromagnetic Heisenberg model on various geometrically frustrated lattices with a quenched disorder in the exchange interaction, and demonstrate that, when the randomness exceeds a critical value, the model exhibits a randomness-induced gapless QSL-like state, a ``random-singlet state'', accompanied by the T-linear low-temperature specific heat widely observed experimentally. The random-singlet state, where local spin singlets of varying strengths are formed in a hierarchical manner, might be viewed as an ``Anderson-localized'' RVB (resonating-valence bond) state. The results are discussed in connection with a variety of experimentally observed QSL materials, which seem to provide a consistent explanation of many recent experimental observations.

References:

[1] K. Watanabe, H. Kawamura, H. Nakano and T. Sakai, J. Phys. Soc. Jpn. 83, 034704 (2014).

[2] H. Kawamura, K. Watanabe and T. Shimokawa, J. Phys. Soc. Jpn. 83, 103704 (2014).

[3] T. Shimokawa, K. Watanabe and H. Kawamura, Phys Rev. B 92, 134407 (2015).

[4] K. Uematsu and H. Kawamura, J. Phys. Soc. Jpn. 85, 113702 (2017).

[5] K. Uematsu and H. Kawamura, Phys. Rev. B 98, 134427 (2018).

Yoon Seok Oh
Title: Two-dimensional power law behavior in one-dimensional NiTe2O5
Abstract:

Since Haldane conjectured that ground state of one-dimensional Heisenberg antiferromagnet has a finite spin excitation gap for integer spins or gapless excitations for half-odd integer spins, it has inspired lots of theoretical and experimental studies on the low-dimensional quantum magnets. Recently, we have found a new S=1 one-dimensional chain compound NiTe2O5, in which NiO6 octahedra compose the one-dimensional chain with edge-sharing. Comprehensive magnetic, elastic, and thermal properties have been studied in single crystalline as well as polycrystalline NiTe2O5. In this presentation, we present physical properties of NiTe2O5 compound and discuss thermodynamic behavior associated with the order parameter.

R. Ganesh
Title: In how many ways can four vectors add to zero?
Abstract:

A fundamental motif in frustrated magnetism is the tetrahedral cluster -- four spins with each pair separated by the same distance. If the spins are coupled by Heisenberg couplings, they must add to zero to minimize energy. This leads to a simple mathematical criterion for classical ground states -- we have four vectors which are constrained to add to zero. We show that this leads to a five-dimensional space of allowed states. Remarkably, this space has 'non-manifold' structure. It contains 'singular' points about which it appears to be six dimensional. We use this construction to build a semi-classical theory for the tetrahedral cluster. In the low-energy limit, it takes a very simple form. It decomposes into two independent objects -- a rigid rotor (a spinning top) and a free spin. This free spin is perhaps the simplest example of an 'emergent' quantity, arising from angular variables in the spin configuration. This provides an elegant way to understand the energy spectrum and physical properties of tetrahedral molecular magnets.

Monday, 03 December 2018

Je-Geun Park
Title: Spin-orbit physics in Cu oxides
Abstract:

Spin-orbit coupling plays a very important role in several problems of condensed matter physics, especially in the spin-orbit entangled j-state. The conventional wisdom in the community is that in order to realize the j-physics one needs to look at compounds with heavier elements like Ir. In this talk, I will challenge this wisdom and demonstrate how some of Cu oxides can host j-physics despite the smaller spin-orbit coupling [1]. 

[1] Choong H. Kim, Hwanbeom Cho, Santu Baidya, Vladimir V. Gapontsev, Sergey V. Streltsov, Daniel I. Khomskii, Je-Geun Park, Ara Go, Hosub Jin, arXiv:1810.08594

D. D. Sarma
Title: In search of quantum spin liquids
Abstract:

Magnetic systems are characterised by microscopic interaction strengths that couple magnetic moments of different atomic sites. Depending on the magnitudes, signs and ranges of these interactions, various magnetic ground states can be realised, the simplest examples being various collinear magnetic arrangements. In simple systems exhibiting transitions from paramagnetic to ordered (ferro- or antiferro-) magnetic states with the lowering of temperature, one may obtain an estimate of the net interaction strength from the temperature-intercept (ƟCW) of the inverse-susceptibility plot as a function of the temperature via the Curie-Weiss Law. This magnitude of ƟCW is often a good indication of the transition temperature. However, there are many systems where the magnetic ordering temperature is significantly suppressed compared to ƟCW due to frustrations in the magnetic interactions. In extreme cases, no magnetic ordering is found down to the lowest temperature probed despite a sizable value of ƟCW, prompting one to believe that such systems have an exotic ground state, known as quantum spin liquid, characterised, among other things, by an absence of ordering despite sizable interactions between various magnetic sites. We have been probing several new systems that are likely candidates of this class of compounds. I shall discuss some of these systems in my presentation.

Indra Dasgupta
Title: Realization of Spin-Orbital Liquid State in Iridates
Abstract:

The search for quantum spin (-orbital) liquids (QSL) -materials where local moments are well formed but continue to fluctuate quantum mechanically down to zero temperature still remains a fundamental challenge in condensed matter physics. In this talk, we shall show that the electronic structure of 6H perovskite type quaternary iridates Ba3MIr2O9, have all the necessary ingredients to host QSL state. In Ba3MIr2O9, Ir ions form structural dimers and non-magnetic M provides a knob to tailor the valence of Ir leading to emergent quantum phases. As a first example [1], we shall consider the pentavalent (d4) 6H perovskite iridate Ba3ZnIr2O9 and argue that the ground state of this system is a realization of novel spin-orbital liquid state. Our results reveal that such a system provides a very close realization of the elusive J=0 state where Ir local moments are spontaneously generated due to the comparable energy scales of the singlet-triplet splitting driven by spin-orbit coupling (SOC) and the super-exchange interaction mediated by strong intra-dimer hopping. While the Ir ions within the structural Ir2O9 dimer prefers to form a spin-orbit singlet states(SOS) with no resultant moment, however substantial frustrated inter-dimer exchange interactions induce quantum fluctuations in the SOS states favoring spin-orbital liquid phase at low enough temperature. As a second example [2] we shall consider the d4.5 insulator Ba3YIr2O9 and explain the origin of the pressure induced magnetic transition to a spin-orbital liquid state in this system. We shall also discuss the importance of Kitaev interactions in the realization QSL phases for the d5 members of the same family[3]. Finally we shall compare our results with d3 [4] and d4 [5] Ir based double perovskites, particularly explain the origin of moments and presence of spin-orbital singlets in Ba2YIrO6 .

References

[1] A. Nag et. al. Phys. Rev. Lett. 116, 375501 2016

[2] S.K. Panda et. al. Phys. Rev. B 92, 180403 (Rapid Comm.), 2015

[3] S. Bhowal, S. Ganguly and I. Dasgupta, 2018 (Submitted for publication)

[4] S. Bhowal and I. Dasgupta, Phys Rev B 97 , 024406 (2018)

[5] A. Nag et. al., Phys Rev B 98, 014431 (2018)

Masafumi Udagawa
Title: Dynamics of fractional excitations in Kitaev's spin liquid
Abstract:

Recently, Kitaev’s model is drawing considerable attention as a platform to study quantum spin liquid, and several compounds, such as RuCl3 and H3LiIr2O6, are proposed as candidates to support this spin liquid phase. Among many non-trivial properties, the Kitaev’s spin liquid phases host unusual excitations: spins are fractionalized into itinerant Majorana fermions and Visons, and the latter behave as abelian/non-abelian anyons. To diagnose the formation of Kitaev’s spin liquid in actual materials, and to understand the nature of its exotic response, the understanding of these elementary excitations is essential.

In this contribution, we present an exact analytical solution of dynamical correlation function for Kitaev’s spin liquid. With this solution, we will address how local disturbance of the system, such as impurity, manifests itself in the thermodynamic and dynamical properties, in association with the nature of fractionalized excitations. In particular, we will focus on the Vison zero-energy state appearing around the site vacancy, and discuss how to observe it experimentally.

Sumiran Pujari
Title: Resonating quantum three-coloring wavefunctions for the kagome quantum antiferromagnet
Abstract:

Motivated by the recent discovery of a macroscopically degenerate exactly solvable point of the spin-1/2 XXZ model for Jz/J=−1/2 on the kagome lattice [H. J. Changlani et al. Phys. Rev. Lett 120, 117202 (2018)] -- a result that holds for arbitrary magnetization -- we develop an exact mapping between its exact quantum three-coloring wavefunctions and the characteristic localized and topological magnons. This map, involving resonating two-color loops, is developed to represent exact many-body ground state wavefunctions for special high magnetizations. Using this map we show that these exact ground state solutions are valid for any Jz/J≥−1/2. This demonstrates the equivalence of the ground-state wavefunction of the Ising, Heisenberg and XY regimes all the way to the Jz/J=−1/2 point for these high magnetization sectors. In the hardcore bosonic language, this means that a certain class of exact many-body solutions, previously argued to hold for purely repulsive interactions (Jz≥0), actually hold for attractive interactions as well, up to a critical interaction strength. For the case of zero magnetization, where the ground state is not exactly known, we perform density matrix renormalization group calculations. Based on the calculation of the ground state energy and measurement of order parameters, we provide evidence for a lack of any qualitative change in the ground state on finite clusters in the Ising (Jz≫J), Heisenberg (Jz=J) and XY (Jz=0) regimes, continuing adiabatically to the vicinity of the macroscopically degenerate Jz/J=−1/2 point. These findings offer a framework for recent results in the literature, and also suggest that the Jz/J=−1/2 point is an unconventional quantum critical point whose vicinity may contain the key to resolving the spin-1/2 kagome problem.

Tuesday, 04 December 2018

Yuan Li
Title: Topological magnon Dirac points in a three-dimensional antiferromagnet
Abstract:

The recent discovery of topological semimetals, which possess distinct electron-band crossing with non-trivial topological characteristics, has stimulated intense research interest. By extending the notion of symmetry-protected band crossing into one of the simplest magnetic groups, namely by including the symmetry of time-reversal followed by space-inversion, we predict the existence of topological magnon-band crossing in three-dimensional (3D) antiferromagnets. The crossing takes the forms of Dirac points and nodal lines, in the presence and absence, respectively, of the conservation of the total spin along the ordered moments. In a concrete example of a Heisenberg spin model for a “spin-web” compound, Cu3TeO6, we demonstrate the presence of Dirac magnons over a wide parameter range using linear spin-wave approximation [1]. Inelastic neutron scattering experiments have been carried out to detect the bulk magnon-band crossing in a single-crystal sample. The highly interconnected nature of the spin lattice suppresses quantum fluctuations and facilitates our experimental observation, leading to remarkably clean experimental data and very good agreement with the linear spin-wave calculations. The predicted topological Dirac points are confirmed [2].

[1] K. Li et al., PRL 119, 247202 (2017).
[2] W. Yao et al., Nature Physics 14, 1011 (2018).

Kazuhiro Nawa
Title: Topological triplon band and edge states in the spin dimer antiferromagnet Ba2CuSi2O6Cl2
Abstract:

The search for topological insulators has been actively promoted in the field of condensed matter physics. Recently, the concept of topologically insulating state and associated edge states have been extended to bosonic quasiparticles, such as magnons in solids [1, 2]. In the talk, we demonstrate that also triplons can construct topological bands in the spin-1/2 two-dimensional dimerized antiferromagnet Ba2CuSi2O6Cl2 [3].

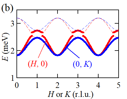
Inelastic neutron scattering experiments were performed by using the cold-neutron disk chopper spectrometer AMATERAS [4] installed in MLF, J-PARC. Twenty pieces of single crystals were coaligned so that an a*- or b*-direction for every crystal coincided with each other. A color contour map of the scattering intensities is shown in Fig. a. The two dispersive branches correspond to the band which is dispersive along both H and K directions. In addition, the decrease in intensity was observed at 2.6 meV, irrespective of scattering wave vectors. This can be explained by alternation in interdimer interactions along the a-direction: alternation induces an energy gap between the low- and high- energy bands, and small structure factor of the latter band at high energies results in “splitting” of the triplon branch, as illustrated in Fig. b. The topology of the bands can be understood by regarding Ba2CuSi2O6Cl2 as a pseudo-one-dimensional variant of Su-Schrieffer-Heeger (SSH) model [5]. The correspondence indicates the presence of thermally excited topologically protected edge states induced by a bipartite nature of the lattice [6].

(a) Excitation spectrum at 0.3 K.

(b) Schematic dispersion relations of the triplon bands.

 

[1] R. Shindou, R. Matsumoto, S. Murakami, J. Ohe, Phys. Rev. B 87 144427 (2013).

[2] L. Zhang, J. Ren, J. S. Wang, and B. Li, Phys. Rev. B 87, 144101 (2013).

[3] M. Okada et al., Phys. Rev. B 94, 094421 (2016).

[4] K. Nakajima et al., J. Phys. Soc. Jpn. 80, SB028 (2011).

[5] W. P. Su, J. R. Schrieffer and A. J. Heeger, Phys. Rev. Lett. 42, 1698 (1979).

[6] K. Nawa et al., cond-mat arXiv:1810.08931 (2018).

Jianda Wu
Title: String excitations in the anti-ferromagnetic Heisenberg-Ising chain (Remote Talk)
Abstract:

Although the low energy fractional excitations of one-dimensional integrable models are often well-understood, exploring quantum dynamics in these systems remains challenging in the gapless regime, especially at intermediate and high energies. Based on the algebraic Bethe ansatz formalism, we study spin dynamics in the anti-ferromagnetic spin-1/2 XXZ chain with the Ising anisotropy via the form-factor formulae. Various excitations at different energy scales are identified crucial to the dynamic spin structure factors under the guidance of sum rules. At small magnetic polarization, gapless excitations of psinons and antipsinons dominate the low energy spin dynamics. In contrast, spin dynamics at intermediate and high energies is characterized by the two- and three-string states. The dynamic spectra of the identified dominant excitations evolve with clear energy separations when tuning the magnetic field, conveying a simple and straightforward way to clearly identify the novel string excitations in proper condensed matter systems. Our predictions have been experimentally confirmed on the quasi-one-dimensional material SrCo2V2O8, where the details of the experimental observations will also be discussed.

Shintaro Ishiwata
Title: Topological and helical spin structures in centrosymmetric cubic perovskites
Abstract:

Topological spin texture consisting of multiple-q spin spiral is of great interest for novel quantum transport phenomena and spintronic functions. A recent interesting example is a magnetic skyrmion, which is a topologically stable, vortex-like spin object discovered in noncentrosymmetric systems allowing the Dzyaloshinskii-Moriya (DM) interaction [1,2]. The title compound SrFeO3 is a promising candidate of the centrosymmetric compound hosting a novel skyrmion lattice in the absence of the DM interaction. SrFeO3 has been known as a rare oxide showing both helimagnetism and metallic conduction while preserving the centrosymmetric cubic lattice. While the magnetic ground state has been believed to be a simple proper-screw-type spin order for long time, we have found that the magnetic phase diagram of SrFeO3 hosts a rich variety of helimagnetic phases, two of which show novel topological helimagnetic orders [3].

In this presentation, I will show the topologically nontrivial helimagnetic phases in the simple cubic perovskite SrFeO3, which were discovered by the polarized and unpolarized small angle neutron scattering (SANS) measurements on the single crystalline samples. We found that SrFeO3 shows two kinds of multiple-q helimagnetic structures: an anisotropic double-q spin spiral and an isotropic quadruple-q spiral hosting a three-dimensional lattice of topological singularities [4]. As a related topic, our recent discovery of a novel helimagnetic phase in the isostructural cubic perovskite Sr1-xBaxCoO3 by Sakai et al. will be also presented [5]. These perovskite-type oxides not only diversify the family of SkX host materials, but furthermore provides an experimental missing link between centrosymmetric lattices and topological helimagnetic order.

This work was done in collaboration with T. Nakajima, J. -H. Kim, D. S. Inosov, Y. Tokunaga, S. Seki, N. Kanazawa, Y. W. Long, Y. Kaneko, R. George, K. Seemann, J. S. White, J. L. Gavilano, Y. Taguchi, T. Arima, B. Keimer, and Y. Tokura. This work is supported by JST PRESTO Hyper-nano-space design toward Innovative Functionality (Grant No. JPMJPR1412) and the JSPS Grant-in-Aid for Scientific Research (A) Grant No. 17H01195.

 

[1] S. Mühlbauer et al., Science 323, 915 (2009).

[2] S. Seki, X. Z. Yu, S. Ishiwata, and Y. Tokura, Science 336, 198 (2012).

[3] S. Ishiwata et al., Phys. Rev. B 84, 054427 (2011).

[4] S. Ishiwata et al., arXiv:1806.02309.

[5] H. Sakai et al., Phys. Rev. Mater. 2, 104412 (2018).

Srimanta Middey
Title: Interface and Lattice Engineering of Complex Oxides
Abstract:

Interface engineering of complex oxides has become a popular approach to realize fascinating collective phenomena, which are very often “hidden” or unattainable in the constituent bulk materials. While the strong interplay among spin, charge, orbital, lattice degrees of freedom facilitate interesting many-body quantum phenomena in correlated oxides, the additional broken symmetries and frustrated couplings across the interface of artificial heterostructures may give rise to new electronic, magnetic states. Geometrical lattice engineering (GLE) has been presented as another potential way in recent times to realize novel topological and quantum many-body states. The key idea behind the GLE is to design fully epitaxial fully epitaxial ultra-thin heterostructures with an artificial lattice geometry (e.g. buckled honeycomb lattice, Kagome lattice etc.) generated by stacking of a very specific number of atomic planes along a particular orientation.

As a prototype example of such interface and lattice engineering, I will talk about our ongoing work on rare earth nickelate heterostructures. The results of synchrotron diffraction, x-ray absorption spectroscopy, resonant x-ray scattering to elucidate the response of underlying lattice, spin, orbital and charge degrees of freedom combined with strain and quantum confinement will be presented.

  1. S. Middey et al., Annual Review of Materials Research 46, 305-334 (2016).

  2. S. Middey et al., Phys. Rev. Lett. 116, 056801 (2016).

  3. S. Middey et al., Phys. Rev. Lett. 120, 156801 (2018); Phys. Rev. B 98, 045115 (2018); Appl. Phys. Lett. 113, 081602 (2018).

Vikram Tripathi
Title: Strong ferromagnetic Kitaev correlations in the honeycomb iridate Na2IrO3: evidence from high-field magnetometry
Abstract:

The magnetic field response of the Mott-insulating honeycomb iridate Na2IrO3 is investigated using torque magnetometry measurements in magnetic fields up to 60 tesla. A peak-dip structure is observed in the torque response at magnetic fields corresponding to an energy scale close to the zigzag ordering (≈ 15K) temperature. Using exact diagonalization calculations, we show that such a distinctive signature in the torque response constrains the effective spin models for these classes of Kitaev materials to ones with dominant ferromagnetic Kitaev interactions, while alternative models with dominant antiferromagnetic Kitaev interactions are excluded. We further show that at high magnetic fields, long range spin correlation functions decay rapidly, signaling a transition to a long-sought-after field-induced quantum spin liquid beyond the peak-dip structure. Kitaev systems are thus revealed to be excellent candidates for field-induced quantum spin liquids, similar physics having been suggested in another Kitaev material α−RuCl3.

Wednesday, 05 December 2018

Zenji Hiroi
Title: Searching for new materials for studying frustration physics
Abstract:

A simple Néel order can be destroyed by geometrical cancellation of magnetic interactions between nearest-neighbor spins on triangle-based networks or by competitions among two or more kinds of interactions. Stabilized alternatively are quantum disordered states called the spin liquid or unusual long-range orders having emergent degrees of freedom such as chirality or topological excitations. Extensive theoretical studies have proposed fascinating states of matter in various classes of models with frustration, and experimental studies have been undertaken to search for related exotic phenomena in real candidate compounds. However, there are numerous obstacles to clarify the frustration physics: the selection of a ground state from macroscopically large number of states existing next to it within a small energy range is subtle and is rather difficult to predict even by the state-of-the-art calculation techniques. Moreover, the ground state is often severely influenced by perturbations like anisotropy or additional interactions to the simplest Heisenberg model. Furthermore to experiments, the presence of crystallographic disorder, which does exist more or less in actual compounds, tends to disturb and mask the intrinsic properties of frustrated systems. Therefore, one has to be careful to enjoy the interesting frustration physics.

In my presentation, I will focus on some frustrated spin systems from materials point of view. A particular emphasis will be on two kagome-type copper minerals: volborthite [1] and Cd-kapellasite (CdK) [2]. The others are so-called J1J2 magnets with first and second-neighbor interactions in 1D chains [NaCuMoO4(OH), 3] and 2D square lattices [AMoOPO4Cl (A = K, Rb), 4]. In addition, I would like to address our recent trials searching for novel magnets in 5d transition metal compounds.

References

[1] H. Ishikawa, M. Yoshida, K. Nawa, M. Jeong, S. Krämer, M. Horvatić, C. Berthier, M. Takigawa, M. Akaki, A. Miyake, M. Tokunaga, K. Kindo, J. Yamaura, Y. Okamoto and Z. Hiroi, Phys. Rev. Lett. 114, 227202 (2015).

[2] R. Okuma, T. Yajima, D. Nishio-Hamane, T. Okubo and Z. Hiroi, Phys. Rev. B 95, 094427 (2017).

Kenta Kimura
Title: DC and optical magnetoelectric responses from convex-shaped spin clusters
Abstract:

Vortex like spin arrangements called magnetic toroidal, magnetic monopole, and magnetic quadrupole moments are known as a source for unique symmetry-dependent phenomena such as linear magnetoelectric effects. We report our recent discovery of magnetoelectric responses in the new antiferromagnets A(TiO)Cu4(PO4)4 (A = Ba, Sr, Pb), whose crystal structure is characterized by an alternating array of Cu4O12 spin clusters with convex geometry known as square cupola. We find that each Cu4O12 spin cluster in these materials form a magnetic quadrupole type spin arrangement, which is stabilized due to the square cupola geometry. Moreover, in the A = Pb system, these magnetic quadrupole moments order uniformly in all the Cu4O12 spin clusters. We demonstrate that this ferroic magnetic quadrupole order gives rise to highly anistropic (DC) linear magnetoelectric effect, induction of electric polarization by an applied magnetic field. As an extension of the magnetoelectric effect into an optical regime, we also observe a nonreciprocal linear dichroism for visible light, i.e., the sign of the linear dichroism is switched between two counter-propagating light beams. These results indicate that the convex-shaped spin cluster can be a promising structural unit that hosts unique magnetoelectric responses arising from magnetic quadrupole moments.

Alexei Andreanov
Title: Macropscopic degeneracy and fragmentation in the XY model on the kagome lattice
Abstract:

Frustration is known to give rise to many interesting physical phenomena. One such example is magnetic fragmentation when original spins decompose into new elementary degrees of freedom. Inspired by Jospehson junctions arrays we propose a model of magnetic fragmentation on kagome lattice for classical planar spins with isotropic nearest-neighbor Heisenberg interactions and broken sublattice symmetry. As couplings are varied, the groundstate exhibits a transition from plain ferromagnet to a highly degenerate manifold of states that retain non-zero magnetisation. Importantly this behavior, i.e. fragmentation, persists for a range of couplings. We analyse the properties of these groundstates, like correlations and long-wavelength behaviour. As a simpler version we also consider the d=1 version of the model, that also exhibits highly degenerate groundstates in part of the phase diagram, but does not show any magnetic ordering. Finally we discuss how this model can be extended to different types of spins and other 2D and 3D lattices.

Brijesh Kumar
Title: Understanding spin-1 kagome Heisenberg antiferromagnet through Hida model
Abstract:

The Hida model, defined on honeycomb lattice, is a spin-1/2 Heisenberg model of antiferromagnetic hexagons (with nearest-neighbour interaction, JA) coupled via ferromagnetic bonds (with exchange interaction, JF). It applies to the spin-gapped organic materials, m-MPYNN · X (for X = I, BF4, ClO4). For |JF | ≫ JA, it reduces to the spin-1 kagome Heisenberg antiferromagnet (KHA). Motivated by the recent findings of spontaneously trimerized singlet (TS) ground state for the spin-1 KHA, we investigate the evolution of the ground state of Hida model from weak to strong JF /JA using triplon analysis and Schwinger boson mean-field theory. Our study of the Hida model shows that its uniform hexagonal singlet (HS) phase for weak JF /JA soon gives way to the dimerized hexagonal singlet (D-HS) ground state, which for strong JF /JA approaches the TS state. We further find that the evolution from the uniform HS phase for spin-1/2 Hida model to the TS phase for spin-1 KHA happens through two quantum phase transitions: (1) the spontaneous dimerization transition at small JF /JA (~ −0.28) from the uniform HS to D-HS phase, and (2) the moment formation transition at moderate JF /JA (~ −1.46) across which the pair of spin-1/2’s on every FM bond begins to behave as bound moment that tends to spin-1 for large negative JF’s. The TS ground state of the spin-1 KHA is thus adiabatically connected to the D-HS ground state of the Hida model. Our calculations imply that the m-MPYNN · X salts realize the D-HS phase at low temperatures, which can be ascertained through a distinguishing feature in neutron diffraction.

Pochung Chen
Title: Crossover of Correlation Functions near a Quantum Impurity in a Tomonaga-Luttinger Liquid
Abstract:

An impurity in a Tomonaga-Luttinger liquid leads to a crossover between short- and long-distance regime which describes many physical phenomena. However, calculation of the entire crossover of correlation functions over different length scales has been difficult. We develop a powerful numerical method based on infinite DMRG. By utilizing infinite boundary conditions we can obtain correlation functions within a finite-size window that contains the impurity. For the S = 1/2 chain, we demonstrate that the full crossover can be precisely obtained, and that their limiting behaviors show a good agreement with field-theory predictions.

Yasir Iqbal
Title: Quantum Spins on the isotropic and breathing pyrochlore lattices: models and materials
Abstract:

The effects of quantum fluctuations in the Heisenberg model on the isotropic and breathing pyrochlore lattices are discussed for a generic spin-S.​ By employing the pseudofermion functional renormalization group method, we find, for S=1/2 and S=1, an extended quantum spin liquid phase. The effects of temperature, quantum fluctuations, breathing anisotropies, and further neighbor Heisenberg couplings, on the nature of the scattering profile, and the pinch points in particular, are analyzed. We place our results in the context of recently experimentally studied Heisenberg pyrochlore magnets, such as the S=1 NaCaNi2F7, a promising candidate spin liquid material, and the breathing pyrochlores, LiInCr4O8, LiGaCr4O8, LiInCr4S8, LiGaCr4S8, CuInCr4S8, and CuInCr4Se8.

Reference: arXiv: 1802.09546, Y. Iqbal, T. Müller, P. Ghosh, M. J. P. Gingras, H. O. Jeschke, S. Rachel, J. Reuther, and R. Thomale (2018)

Krishnendu Sengupta
Title: Transport in junctions between a Weyl and a multi-Weyl semimetal
Abstract:

We study transport across junctions of a Weyl and a multi-Weyl semimetal separated by a region of thickness d which has a barrier potential U_0. We show that the tunneling conductance G of such a junction becomes independent of the barrier strength in the thin barrier limit. We show that this independence is a consequence of the change in the topological winding number of the Weyl nodes across the junction and point out that it has no analogue in tunneling conductance of either junctions of two-dimensional topological materials (such as graphene or topological insulators) or those made out of Weyl or multi-Weyl semimetals with same topological winding numbers. We study this phenomenon both for normal-barrier-normal (NBN) and normal-barrier-superconducting (NBS) junctions involving Weyl and multi-Weyl semimetals and discuss experiments which can test our theory.

Thursday, 06 December 2018

Hidemaro Suwa
Title: Dynamical response of weak Mott insulator
Abstract:

Weak Mott insulators emerge from 5d electron systems with strong spin-orbit interactions. Coulomb repulsion (U) between electrons in 5d orbitals is not strong enough to suppress charge degrees of freedom completely. For example, the charge gap is comparable to the magnon-band width for strontium iridates. Such electron systems can be described by the Hubbard model with an intermediate U, which would be in the crossover regime between Slater and Mott insulators. Reliable calculation for the intermediate-U region is theoretically challenging because of the lack of a small parameter in the model. We have developed a new numerical approach that enables efficient calculation of dynamical quantities at finite temperatures in the broad-U region. The sampling of auxiliary vector fields from the Boltzmann distribution and the real time dynamics of the density matrix are successfully combined in our method.

In the presentation, I will explain our semi-classical approach that fully captures spatial fluctuations of the systems. As an application of the newly developed method, the dynamical spin structure factor and the dielectric constant for the kagome lattice will be demonstrated, where the ground state has an octahedral spin configuration with a chiral symmetry breaking. Importantly, our approach is applicable to various systems without any restrictions on the type of hopping, the type of lattice, and electron filling. The broad U region is accessible up to the temperature comparable to the charge gap.

Suk-Bum Chung
Title: Cooper pair spin current in SrRuO3 / Sr2RuO4 heterostructure
Abstract:

The spin-triplet superconductor by definition should involve spin ordering that gives rise to the spin collective phenomena such as the spin collective modes and the spin supercurrent. However, in the superconducting phase in the best-known candidate material, Sr2RuO4, only the latter has been observed just for the mesoscopic sample [1]. I will show how the recently fabricated heterostructure of bulk Sr2RuO4 and the ferromagnetic SrRuO3 provides a particularly natural probe for detecting bothtypes of spin collective phenomena. The spin supercurrent that can be injected naturally into Sr2RuO4 from SrRuO3 can be used to obtain an exceptionally high-quality spin valve, while applying an AC bias on SrRuO3 can drive the Sr2RuO4 spin collective modes [2].

References:
[1] J Jang, D J Ferguson, V Vakaryuk, R Budakian, SBC, P M Goldbart, and Y Maeno, Science 331 (2011), 186
[2] SBC, S K Kim, K H Lee, and Y Tserkovnyak, Phys. Rev. Lett. 121 (2018), 167001

Okamoto Yoshihiko
Title: A-Site Ordered Cr Spinel Sulfides: Alternating Antiferromagnetic and Ferromagnetic Interactions in the Breathing Pyrochlore Lattice
Abstract:

Breathing pyrochlore magnets, where localized spins are arranged at the edge of alternating small and large tetrahedra with magnetic interaction J and J', respectively, have attracted attention as unique systems that possess both geometrical frustration and bond alternation. The two systems that are spin-3/2 magnets LiInCr4O8 and LiGaCr4O8 and a pseudospin-1/2 magnet Ba3Yb2Zn5O11 have been intensively studied. In these magnets, J and J' are suggested to be antiferromagnetic. We focus on A-site ordered Cr spinel sulfides LiInCr4S8, LiGaCr4S8, and CuInCr4S8, where Cr3+ ions carrying an S = 3/2 spin form a breathing pyrochlore structure [1]. Although these three sulfides are suggested to have both antiferromagnetic J and ferromagnetic J' on their pyrochlore structures, low-temperature magnetic properties of them differ significantly, as seen in magnetization processes measured up to 72 T. We also found they show different thermal expansion properties including negative thermal expansion and a magnetic-field induced volume change at low temperature, indicating that a rich physics exists in this spin system.

[1] Y. Okamoto, M. Mori, N. Katayama, A. Miyake, M. Tokunaga, A. Matsuo, K. Kindo, and K. Takenaka, J. Phys. Soc. Jpn. 87, 034709 (2018).

Arumugam Thamizhavel
Title: Magnetocrystalline anisotropy in Ce-compounds
Abstract:

The competition between Ruderman, Kittel, Kasuya and Yosida (RKKY) interaction and the Kondo effect in Ce and Yb based intermetallic compounds have been studied quite extensively. These studies on the Ce and Yb-based intermetallic compounds have resulted in a plethora of interesting phenomena like heavy fermion, valence fluctuation, unconventional superconductivity, quantum phase transition etc. All these interesting properties occurs due to the hybridization of the localized 4f electron with the conduction electrons. A weak hybridization usually results in a magnetic ground state, while a stronger hybridization results in a weaker localization of the 4f electron pushing the system eventually to a non-magnetic ground state. The hybridization strength and the effects due to the crystal electric field (CEF) depend on the atomic environment around the Ce-atom in the unit cell, which includes the interatomic distances between the Ce and other atoms on different crystallographic sites. Most of the Ce-compounds possess a single unique atomic position for the Ce atom in the unit cell. However, there are cerium compounds which host multiple sites for Ce atoms in the unit cell. In this talk, I will present some of our recent results on the crystal growth and anisotropic physical properties of some Ce-based intermetallic compounds.